Autorica: Marija Macenić, mag.ing.min.
Na području Republike Hrvatske eksploatacija ugljikovodika započela je još krajem 19. stoljeća, dok je moderna proizvodnja nafte i plina započela sredinom 20. stoljeća, te se nastavlja i danas. Prema podacima INA grupe do danas je izrađeno otprilike 4500 istražnih, proizvodnih i razradnih bušotina (INA d.d., 2018). Krajem 20. stoljeća započeo je pad proizvodnje ugljikovodika, zabilježeno je povećanje udjela vode u proizvodnji te je došlo do smanjenja tlaka u ležištima, što je rezultiralo napuštanjem ili prenamjenom proizvodnih bušotina u utisne ili opažačke. Pretpostavlja se da će udio takvih bušotina, kako u svijetu, tako i u Hrvatskoj, i dalje rasti.
Kao alternativa skupom procesu napuštanja i likvidaciji, privremeno napuštene bušotine je moguće prenamijeniti i iskorištavati dostupnu geotermalnu energiju različitim metodama. Jedna od metoda se odnosi na prenamjenu u poboljšani geotermalni sustav (EGS). Kod EGS-a pothlađeni radni fluid se utiskuje kroz utisnu bušotinu, cirkulira kroz već postojeće pukotine u stijenskoj masi (Cheng et al., 2016) ili kroz nove pukotine nastale hidrauličkim frakturiranjem (Caulk i Tomac, 2017), te se tako zagrijani fluid pridobiva kroz proizvodnu bušotinu. Druga predložena metoda se odnosi na tzv. iznimno poboljšano geotermalno ležite (EEGS) koja se odnosi na mogućnosti iskorištavanja napuštenih naftnih bušotina utiskivanjem zraka, čime bi se ostvarila oksidacija preostale nafte u ležištu (Zhang et al., 2008). Prije utiskivanja zraka, utisnula bi se određena količine vode, koja bi se tijekom procesa oksidacije zagrijala i proizvodila. Pretpostavlja se da bi se uz zagrijanu vodu proizvodile i određene količine preostale nafte. Treća mogućnost podrazumijeva indirektnu cirkulaciju protokom radnog fluida kroz duboki bušotinski izmjenjivač (Morita et al., 1985). Pri tome se pokazalo da je za duboke bušotine najpogodniji koaksijalni izmjenjivač, s obzirom na veću površinu na kojoj se odvija prijelaz topline i pogodnije hidrauličke uvjete u odnosu na klasične jednostruke i dvostruke U-sonde (Kujawa et al. 2006). Revitalizacija napuštenih naftnih i plinskih bušotina ugradnjom dubokog koaksijalnog bušotinskog izmjenjivača topline sastoji se od nekoliko koraka. Proces počinje ugradnjom pakera na dnu ili neposredno iznad postojećeg perforiranog intervala, čime se bušotina zatvara i izolira. Nakon toga potrebno je iscrpiti zaostali ležišni fluid, očistiti zaštitne kolone i ispitati njihovo stanje. Nakon toga pristupa se ugradnji tubinga (kolona uzlaznih cijevi) koji je, iako zatvoren na dnu, perforiran čime je omogućen nesmetani protok. Pri tome, kolone zaštitnih cijevi predstavljaju vanjsku cijev, dok tubing predstavlja unutarnju cijev koaksijalnog toplinskog izmjenjivača, kojima cirkulira voda, kao radni fluid (Slika 1.).

Slika 1. Primjer bušotine Pčelić-1 nakon izvedbe dubokog koaksijalnog bušotinskog izmjenjivača (Macenić, 2020)
Jedan od ciljeva istraživanja je određivanje dostupne toplinske energije upotrebom dubokih bušotinskih koaksijalnih izmjenjivača topline na području kontinentalne Hrvatske, s obzirom na povišene vrijednosti geotermalnog gradijenta. U sklopu disertacije, izdvojene su 154 bušotine iz bušotinskog arhiva, te je na temelju dostupnih podataka i njihovom obradom izrađena nova geotermalna karta kontinentalnog dijela Republike Hrvatske (Slika 2.)

Slika 2. Nova karta geotermalnih gradijenata na području kontinentalne RH (Macenić, 2020)
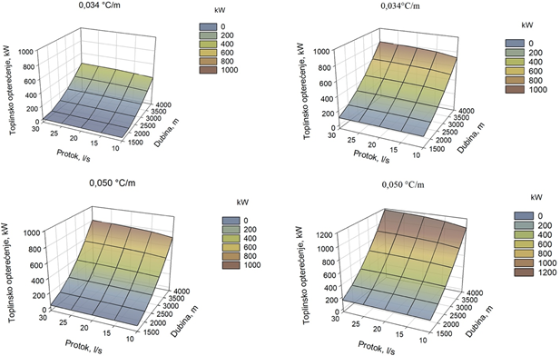
Određivanje dostupne toplinske energije rađeno je za odabrane dubine od 1500 do 4000 m (korak od 500 m), geotermalne gradijente od 0,034 do 0,050 °C/m (korak od 0,004 °C/m) te promjenu protoka od 10 do 30 l/s (korak od 5 l/s), pri pretpostavljenom vremenu korištenja sustava od 20 godina. Također, određivanje dostupnih količina toplinske energije ugradnjom dubokog koaksijalnog bušotinskog izmjenjivača rađeno je za dva slučaja, u ovisnosti o potrebama korisnika – kontinuirani prinos toplinske energije i varijabilno opterećenje kroz godinu. Kod kontinuiranog prinosa toplinsko opterećenje je konstantno kroz godinu i kroz predviđeni ciklus iskorištavanja geotermalne energije. Primjena ovakvog načina iskorištavanja geotermalne energije se može naći u industriji, npr. za potrebe procesa sušenja, u akvakulturi, balneologiji, u staklenicima i sl. Ovakvi procesi nisu česti, te je mogućnost korištenja kontinuiranog prinosa rjeđa. Varijabilno opterećenje ovisi o klimatskim uvjetima koji se javljaju kroz godinu, odnosno sustav se koristi u razdoblju kada je potrebno grijanje. Ovakva vrsta potrebe za toplinskom energijom veže se uz direktno grijanje nekog prostora, najčešće stambenog ili poslovnog, ali i uz neke industrijske procese, poput uzgoja raznih kultura u staklenicima. Uz to, analiza je rađena za viši i niži temperaturni razred, pri čemu se viši temperaturni razred odnosi na termo-tehničke površinske sustave koji direktno koriste dostupnu toplinsku energiju, dok pri nižem temperaturnom razredu je potrebno korištenje dizalica topline. Na slici 3. prikazani su rezultati za konstantna toplinska opterećenja za viši i niži temperaturni razred, pri najvišem odabranom geotermalnom gradijentu. Vidljivo je da je kod nižeg temperaturnog razreda dostupno veće toplinsko opterećenje pri istim uvjetima protoka i dubine.

Slika 3. Rezultati dostupnih toplinskih opterećenja pri konstantnim toplinskim opterećenjima za viši (lijevo) i niži (desno) temperaturni režim, pri geotermalnom gradijentu 0,034 i 0,050 °C/m za različite uvjete dubine i protoka (Macenić, 2020)
Na slici 4. prikazani su rezultati za varijabilna toplinska opterećenja za viši i niži temperaturni razred, pri najvišem odabranom geotermalnom gradijentu. Kao i kod konstantnih toplinskih opterećenja, kod nižeg temperaturnog razreda dostupna je veća količina toplinske energije (broj radnih sati=1500 h) pri istim uvjetima protoka i dubine.

Slika 4. Rezultati dostupne toplinske energije pri varijabilnim toplinskim opterećenjima za viši (lijevo) i niži (desno) temperaturni režim, pri geotermalnom gradijentu 0,034 i 0,050 °C/m za različite uvjete dubine i protoka (Macenić, 2020)
Istraživanjem su utvrđene količine dostupne toplinske energije prenamjenom napuštenih naftnih i plinskih bušotina na kontinentalnom području RH i to indirektnom cirkulacijom radnog fluida kroz duboki koaksijalni bušotinski izmjenjivač topline. Revitalizacijom napuštenih naftnih i plinskih bušotina moguće je smanjiti troškove napuštanja i likvidacije za vlasnike bušotina, tj. naftne tvrtke. Uz to, na relativno brz i jednostavan način moguće je iskorištavati geotermalnu energiju, čime se mogu zadovoljiti zahtjevi Europske unije o udjelu obnovljivih izvora energije u ukupnoj energetskoj bilanci.
Reference:
Caulk, R. A. & Tomac, I. (2017). Reuse of abandoned oil and gas wells for geothermal energy production. Renewable Energy, 112, 388-397.
Cheng, W., Liu, J., Nian, Y. & Wang, C. (2016). Enhancing geothermal power generation from abandoned oil wells with thermal reservoirs. Energy, 109, 537-545.
Kujawa, T., Nowak, W. & Stachel, A. A. (2006). Utilization of existing deep geological wells for acquisitions of geothermal energy. Energy, 31, 650-664.
Macenić, M. (2020). Konceptualni model eksploatacije geotermalne energije revitalizacijom napuštenih naftnih i plinskih bušotina u kontinentalnom dijelu Republike Hrvatske. Neobjavljena doktorska disertacija, Sveučilište u Zagrebu, Zagreb.
Morita, K., Matsubayashi, O., & Kusunoki, K. (1985). Down-hole coaxial heat exchanger using insulated inner pipe for maximum heat extraction. Geothermal Resources Council Trans., 9(1), pp. 45-50.
Zhang, L., Yuan, J., Liang, H. & Li, K. (2008). Energy from abandoned oil and gas reservoirs. SPE Asia Pacific Oil &Gas Conference and Exhibition 2008, 20-22. 10. 2008., Perth, Australija.
_________________________________________________________________________________
Marija Macenić je asistentica na Zavodu naftno-plinsko inženjerstvo i energetiku na Rudarsko-geološko-naftnom fakultetu, Sveučilišta u Zagrebu. U svibnju 2020.g. je obranila doktorski rad pod nazivom Konceptualni model eksploatacije geotermalne energije revitalizacijom napuštenih naftnih i plinskih bušotina u kontinentalnom dijelu Republike Hrvatske.
ResearchGate https://www.researchgate.net/profile/Marija_Macenic



