Autor: dr. sc. Domagoj Vukadin, mag. ing. geol., INA – Industrija nafte d.d.
Metodologija interpretacije seizmičkih podataka ovisi o primjeni samog istraživanja, tj. radi li se o regionalnim istraživanjima ili analizi eksploatacijskog polja . U nekim slučajevima dovoljna je strukturno tektonska analiza interpretacijom seizmičkih amplituda no u nekim slučajevima je potrebno provesti detaljno istraživanje radi identifikacije seizmičkog odraza ili jednostavnije je li seizmička amplituda odraz promjene litološkog sastava ili zasićenja. Karakterizacija ležišta ugljikovodika odnosi se na kvantitativne analize seizmičkih, bušotinskih i proizvodnih podataka koje doprinose boljem razumijevanju prostorne raspodjele značajki ležišta kao što su poroznost, litološki sastav i strukturne značajke.
Laboratorijsko mjerenje ultrazvučnih brzina na jezgrama
Panonski bazenski sustav (PBS) ima dugu povijest naftnogeoloških istraživanja, a to znači da se danas raspolaže s podacima prikupljenim brojnim istražnim bušotinama. No, postoji mali broj bušotina sa snimljenim smičnim brzinama, posebno u hrvatskom dijelu Panonskog bazena. Poznavanje brzina smičnih valova (Vs) od temeljnog je značaja za detaljnu seizmičku karakterizaciju ležišta. Stoga je predviđanje brzina Vs u bušotinama koje nemaju iste snimljene velik izazov i zahtijeva veliki napor kako bi se dobio pouzdan ulazni podatak za seizmičko modeliranje i seizmičku inverziju. Brzina širenja seizmičkih valova može se laboratorijski izmjeriti na uzorcima jezgre uz jednoosno naprezanje koje oponaša uvjete u podzemlju.
Ultrazvučno mjerenje brzina provedeno je za vapnenačko ležište s plinskoga polja Grubišno polje. Uzorkovano je 8 valjčića iz bušotinske jezgre, na kojima su napravljene laboratorijske analize poroznosti, propusnosti i mjerenja brzina pod različitim tlakom opterećenja. Cilj laboratorijskih mjerenja je definiranje elastičnih parametara stijena koji se mogu koristiti u izradi detaljnih seizmičkih modela u procesu inverzije.
Metoda mjerenja ultrazvučnih brzina temelji se na mjerenju vremena putovanja ultrazvučnog vala koji prolazi kroz uzorak. Na jednom kraju uzorka stvaraju se visokofrekventni ultrazvučni valovi te se generirani val širi kroz uzorak, koji se detektira prijamnikom na drugoj strani uzorka (Slika 1). Val se pomoću transformatora pretvara u električni signal na suprotnom kraju uzorka i snima se digitalnim osciloskopom. Brzine P- i S-vala vapnenaca mjerene su kao funkcija efektivnog tlaka pod uvjetima suhog i zasićenog stanja. Na temelju raspoloživih podataka napravljena je analiza rezultata brzina u odnosu na zasićeno stanje, poroznost, efektivno naprezanja.
Slika 1 Skica uređaja za ultrazvučno mjerenje brzina (Vukadin et al., 2021)
Laboratorijski rezultati također su interpretirani i provjereni pomoću dva teorijska modela: Kuster i Toksöz modela (Kuster i Toksöz, 1974a & 1974b) i modela Xu-Payne (Xu i Payne, 2009).

Slika 2 Dijagram brzina P-vala i poroznosti s definiranim modelom Xu Payne. Podaci su obojani vrijednostima efektivnih naprezanja. Ulazni elastični parametri: K = 76.8 GPa, μ = 32 GPa; slojna voda K = 2.1 GPa (Vukadin et al., 2021)
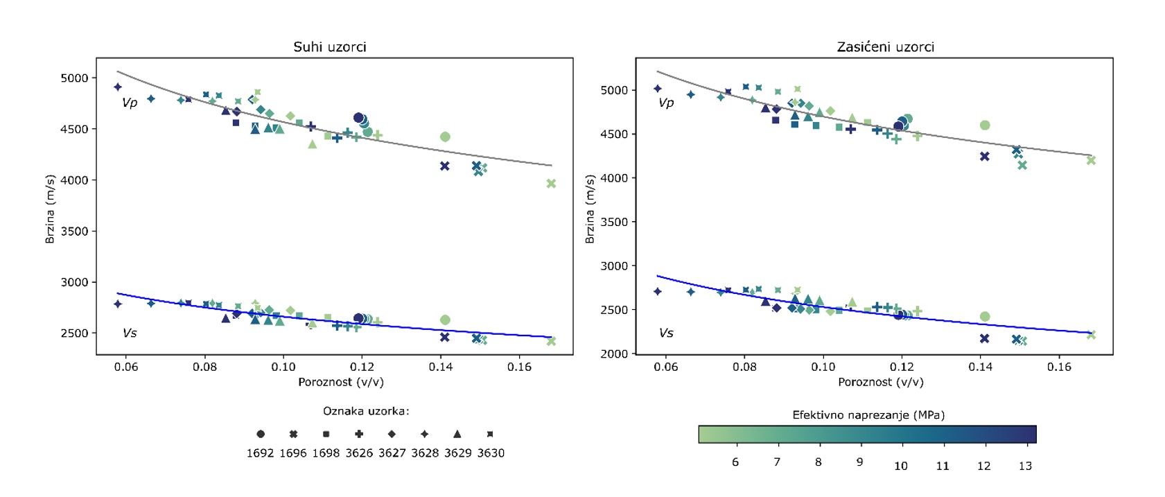
Laboratorijskim mjerenjima je utvrđen trend smanjenja brzina P- i S-valova s porastom poroznosti bez obzira na efektivno naprezanje i to u suhom i zasićenom stanju. Iako se brzine ravnomjerno smanjuju s povećanjem poroznosti, neki uzorci su pokazali raspršenje brzine s povećanjem efektivnog naprezanja. Razlog za takve oscilacije je naglo smanjenje poroznosti tijekom primjene najmanjeg efektivnog naprezanja i aktiviranje postojećeg sustava pukotina s daljnjim povećanjem efektivnog naprezanja.
Slika 3 Ovisnost brzine o promjeni poroznosti suhih i zasićenih uzoraka (Vukadin et al., 2021)
Rezultati ultrazvučnih laboratorijskih mjerenja na uzorcima vapnenca pod različitim efektivnim naprezanjima i stanjima zasićenja omogućili su analizu elastičnih svojstava vapnenaca i definiranje pornog prostora.
Ovakve analize omogućile su definiranje empirijskog odnosa brzina smičnih valova (Vs) i brzina kompresijskih valova (Vp) za suho (1) i zasićeno stanje (2) te empirijski odnos poroznosti i brzina koji ujedno predstavljaju prvi empirijski odnos za vapnence u jugozapadnom dijelu Panonskog bazenskog sustava.
Seizmičko modeliranje dubine slojne vode
U plinskom ležištu Grubišnog Polja kontakt slojne vode i plina određen je uvjetno na dubini od -737 m. Zbog nedovoljnog broja hidrodinamičkih mjerenja kojima se može točno definirati kontakt, određen grafičkom ekstrapolacijom dostupnih točaka mjerenja gradijenta tlaka plina i gradijenta tlaka slojne vode u bušotini. Na temelju definiranih elastičnih parametara vapnenaca, bušotinskih i seizmičkih podataka kontakt slojne vode i plina može se definirati seizmičkim modeliranjem.
Promjena dubine slojne vode mijenja elastična svojstva stijena i brzine širenja elastičnih valova, a time i seizmički odraz. Budući da snimljeni seizmički podaci odražavaju elastična svojstva ležišnih stijena, oni neposredno sadrže i informaciju o zasićenju fluidima i dubini slojne vode u trenutku seizmičkih mjerenja. Ovdje je prikazan novi pristup definiranju kontakta slojne vode, koji može dati vrijedne podatke u slučaju nedostatka hidrodinamičkih mjerenja.
Uzimajući u obzir rezultate laboratorijskih mjerenja elastičnih svojstava i rezultate seizmičke inverzije, konstruiran je seizmički model. Seizmički model omogućuje modeliranje seizmičkog profila koji se uspoređuje sa snimljenim seizmičkim podacima. Promjenom dubine slojne vode u modelu mijenja se i seizmički odziv, a uspoređuje se amplitudni odraz po krovini vapnenaca i metamorfita s amplitudnim tragom snimljenih seizmičkih podataka. Amplitude modeliranih seizmičkih tragova ne mogu biti identične tragovima snimljenih seizmičkih podataka jer je nemoguće modelirati identične geološke uvjete kao u podzemlju.

Slika 4 Analiza amplituda snimljenih i modeliranih seizmičkih tragova, za četiri različite dubine kontakta plin-voda na Grubišnom Polju
Kvalitativna analiza pokazuje da amplitudni odrazi za modelirane dubine kontakta plin-voda -710 i -737 m ne odgovaraju amplitudama snimljenih seizmičkih tragova (Slika 4). Amplitudni odraz za modeliranu dubinu kontakta plin-voda od -800 m ima približan odraz tragu snimljenih seizmičkih podataka u zoni oko bušotine A-1Z, dok se u ostalim dijelovima modela odrazi razlikuju. Jedino se amplitudni odraz za modeliranu dubinu slojne vode od -752 m podudara duž cijelog profila.

Slika 5 Dijagram odnosa brzina Vp i P-impedancija Ip seizmičkog modela za dubinu kontakta plin-voda od -752 m i bušotinskih podataka u bušotinama A-1Z i A-2Z.
Reference
- Kuster, G.T. and Toksöz, M.N. 1974a. Velocity and attenuation of seismic waves in two-phase media: Part 1. Theoretical formulations. Geophysics, 39, 587–606, https://doi.org/10.1190/1.1440450
- Kuster, G.T. and Toksöz, M.N. 1974b. Velocity and attenuation of seismic waves in two-phase media: Part 2. Experimental results. Geophysics, 39, 607–618, https://doi.org/10.1190/1.1440451
- Vukadin, D.; Orešković, J.; Kutasi, C. Elastic Properties of Pannonian Basin Limestone under Different Saturation Conditions. Energies, 14, 7291. https://doi.org/10.3390/en14217291
- Xu, S. and Payne, M.A. 2009. Modeling elastic properties in carbonate rocks. The Leading Edge, 28, 98–108, https://doi.org/10.1190/1.3064148
dr. sc. Domagoj Vukadin, mag. ing. geol. je stručnjak za geofizika u sektoru Istraživanja u INA – Industrija nafte d.d. Doktorirao je 23. svibnja 2022. godine s doktorskim radom pod nazivom Razvoj postupka seizmičke interpretacije ležišta ugljikovodika Bjelovarske depresije na temelju inverzije seizmičkih brzina.
ResearchGate https://www.researchgate.net/profile/Domagoj-Vukadin-2
CROSBI https://www.bib.irb.hr/pretraga?operators=and|DOMAGOJ%20VUKADIN|text|profile



